
Cuộc đua đội hạng 3 có thành tích tốt sẽ rất hấp dẫn tại World Cup 2026 – Ảnh: REUTERS
Hầu hết các kỳ World Cup từ trước đến nay đều đi theo công thức đối xứng. Nhưng World Cup 2026 sẽ gần tương tự với kỳ World Cup 1994 (cũng diễn ra tại Mỹ), với một quy mô gấp đôi, và độ phức tạp gấp hàng chục lần.
Công thức đối xứng, nghĩa là số đội tham dự luôn là lũy thừa của 2. Ví dụ, giải đấu có 8 đội, 16 đội, 32 đội… Trong công thức này, các bảng đấu chia làm 4 đội mỗi bảng, sẽ luôn chọn ra 2 đội đứng đầu để đi vào vòng tiếp theo.
World Cup 1994 bắt đầu tạo ra tiền lệ về sự “bất đối xứng” ở đấu trường thế giới, với quy mô 24 đội, chia làm 6 bảng ở năm đó. Và có 16 đội đi tiếp vào vòng sau.
Vì chỉ có 12 đội nhất nhì bảng, World Cup 1994 lấy thêm 4 đội có thành tích tốt trong số 6 đội đứng hạng 3.
Điều này đã bắt đầu tạo nên tiền lệ về thể thức “đua tranh thành tích đội hạng 3” rất phổ biến ở các giải đấu quốc tế sau này. Từ Asian Cup cho đến Euro nhiều kỳ gần đây đều áp dụng thể thức này.
Trái lại, World Cup từ 1998 đến 2022 trở lại với công thức đối xứng quen thuộc, gồm 32 đội và luôn chỉ chọn các đội nhất, nhì bảng đi tiếp.
Đến World Cup 2026, FIFA tăng quy mô lên 48 đội, phá vỡ công thức đối xứng đã kéo dài liên tiếp 7 kỳ World Cup qua.
Với 12 bảng đấu, sẽ có 24 đội nhất, nhì mỗi bảng giành vé vào vòng đấu loại trực tiếp (vòng 32 đội). Và vẫn còn 8 tấm vé nữa cho các đội hạng 3.
Đó sẽ là một cuộc đua chọn ra 8 đội có thành tích tốt nhất trong nhóm 12 đội đứng hạng 3 mỗi bảng.

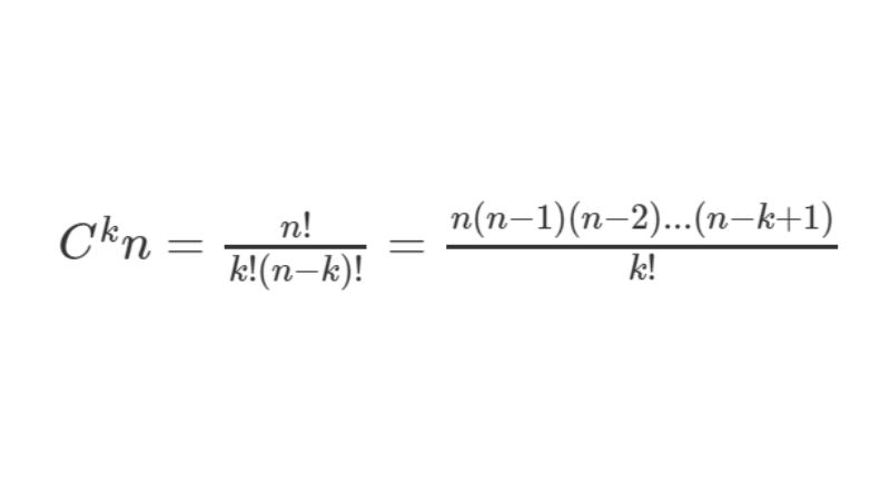
Công thức tính tổ hợp – Ảnh: WK
Vậy có bao nhiêu trường hợp sẽ xuất hiện? Đây là một bài toán tổ hợp, với công thức tính cụ thể là “tổ hợp chập 8 của 12 phần tử”.
Đáp áp là 495 trường hợp, một con số khiến các chuyên gia thống kê bóng đá phải choáng váng.
Tương ứng sẽ có 495 cách thức phân các đội hạng 3 này vào nhánh đấu của vòng đấu loại trực tiếp.
Ở Euro 2016, 2020, 2024 hay World Cup 1994, công thức này chỉ là “tổ hợp chập 4 của 6 phần tử”, với đáp án chỉ là 15 trường hợp.
Với quy mô 24 đội, các đội bóng, hay các chuyên gia, và cả người hâm mộ đều “áng chừng” được cuộc đua đội hạng 3, và diễn biến phân nhánh cho vòng đấu loại trực tiếp tương ứng với từng trường hợp.
Nhưng ở World Cup 2026, tất cả sẽ phải chờ đến khi giai đoạn vòng bảng kết thúc mới có thể biết chính xác kết quả nhánh đấu vòng 32 đội, vì số lượng trường hợp là quá nhiều.
Một kỳ World Cup đột phá, và phức tạp chưa từng thấy.
Đọc tiếp
Về trang Chủ đề
Nguồn: https://tuoitre.vn/world-cup-2026-ton-tai-cuoc-dua-phuc-tap-chua-tung-co-trong-lich-su-lang-bong-da-20251206094827831.htm

