Theo đó, trong thời gian qua, hệ thống camera AI đã ghi nhận 82 xe ô tô và 260 xe máy có hành vi vi phạm. Phòng Cảnh sát giao thông Công an TP Hà Nội đã tiến hành xác minh và gửi thông báo tới các chủ phương tiện liên quan.
Danh sách 82 ô tô vi phạm giao thông:


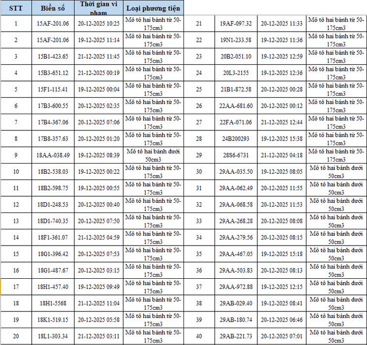
Danh sách 260 xe máy vi phạm giao thông:






Trước đó, ngày 13/12, Công an TP Hà Nội chính thức đưa Trung tâm điều khiển giao thông Hà Nội vào hoạt động, đồng thời triển khai xử lý vi phạm hành chính đối với một số hành vi vi phạm trong lĩnh vực trật tự an toàn giao thông thông qua hệ thống camera giám sát.
Qua quá trình vận hành, hệ thống camera AI liên tục phát hiện và ghi hình hàng trăm trường hợp vi phạm, bao gồm cả ô tô và mô tô, góp phần nâng cao hiệu quả công tác bảo đảm trật tự an toàn giao thông trên địa bàn Thủ đô.
Người dân có thể tra cứu thông tin phạt nguội thông qua ứng dụng VNeTraffic hoặc trên cổng thông tin điện tử của Cục Cảnh sát giao thông Bộ Công an tại địa chỉ www.csgt.vn.
Để tra cứu phương tiện vi phạm, người dân có thể thực hiện theo các cách dưới đây:
– Tra cứu trên website chính thức của Cục Cảnh sát Giao thông:
Bước 1: Truy cập website chính thức của Cục Cảnh sát Giao thông
Bước 2: Nhập biển số xe, chọn loại phương tiện, nhập mã captcha → bấm Tra cứu.
Bước 3: Nếu có vi phạm sẽ hiện thời gian, địa điểm, lỗi, đơn vị xử lý.
– Tải ứng dụng VNeTraffic – ứng dụng giao thông do Bộ Công an quản lý để kiểm tra thông tin vi phạm hoặc gửi phản ánh trực tiếp đến cơ quan chức năng.
Bước 1: Tải ứng dụng trên Google Play/App Store.
Bước 2: Đăng nhập bằng CCCD gắn chip hoặc số điện thoại.
Bước 3: Vào mục “Tra cứu vi phạm”, nhập biển số xe để xem vi phạm.
Ngoài ra, người vi phạm cũng có thể liên hệ trực tiếp Đội Chỉ huy giao thông và điều khiển đèn tín hiệu giao thông, Phòng Cảnh sát giao thông Công an TP Hà Nội tại số 54 Trần Hưng Đạo, phường Cửa Nam, TP Hà Nội, điện thoại 0692.196.440 để được hướng dẫn và giải quyết.
Đối với người dân cư trú trên địa bàn Hà Nội, có thể đến 14 địa điểm tiếp nhận và giải quyết kết quả thu thập bằng phương tiện, thiết bị nghiệp vụ của Phòng Cảnh sát giao thông để xử lý các trường hợp vi phạm hành chính theo quy định.
Phòng Cảnh sát giao thông Công an TP Hà Nội khuyến cáo người dân khi tham gia giao thông cần nâng cao ý thức tự giác, nghiêm túc chấp hành Luật Trật tự, an toàn giao thông đường bộ; tuân thủ tín hiệu đèn giao thông, không sử dụng điện thoại khi điều khiển phương tiện, đội mũ bảo hiểm đạt chuẩn khi đi mô tô, xe gắn máy. Việc chấp hành đúng các quy định không chỉ góp phần bảo đảm an toàn cho bản thân mà còn xây dựng môi trường giao thông văn minh, an toàn cho cộng đồng.
Nguồn: https://kenh14.vn/csgt-ha-noi-cong-bo-danh-sach-342-o-to-xe-may-vi-pham-bi-camera-ai-phat-hien-co-ca-bien-15-16-18-215260106194529995.chn

